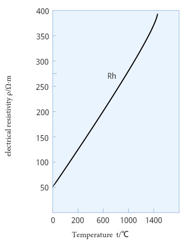
로듐선의 저항 계수는 4.67 x 10-2Ω·mm2/m이고, 인장 강도는 726MPa, 연신율은 46%입니다. 고주파로의 아르곤 가스를 사용하여 용융을 보호합니다. 로듐선은 고주파로의 아르곤 가스 보호 하에 용융, 재용융 2~3회, 하부 주입, 열처리 및 냉처리를 거쳐 0.02mm 필라멘트로 가공됩니다. 고온 열전대 소재로서 우수합니다. Rh-PtRh2O 열전대는 온도 안정성이 우수하여 엄격한 냉접점 보상이 필요하지 않습니다. 작동 온도는 1800℃입니다. Rh-PtRe8 및 Rh-RhRe8 열전대도 있습니다.
부피 밀도: 380 GPa
분자화 엔탈피: 556.5 kJ/mol, @ 25 ℃
열용량: 24.98 J/(mol·K)
전기 전도도: 0.211 10 ^ (6)/(cm Ω)
로듐 와이어 - 로듐 합금 와이어 - 로듐 시트 - 로듐 로드 - 로듐 잉곳 - 로듐 펠릿 - 로듐 합금

|
||||||||||||||||||||||||||||||||||||||||||||||||||||||||||||||||||||||