금 니켈 합금

  • 금 니켈 합금 와이어
  • 금 니켈 합금 와이어

제품 상세 정보

금 니켈 합금

  • 금-니켈 합금봉은 금에 니켈을 첨가한 이원 합금입니다. 850℃ 이상에서 연속적으로 고체 용해가 가능하며, 저온에서는 금과 니켈로 분해됩니다. AuNi5, AuNi9, AuNi10, AuNi17.5, AuNi18 등의 금-니켈 합금이 있으며, 진공 유도 용광로에서 제련 후 수냉하여 응고시킵니다. 니켈 함량이 10% 미만인 합금은 냉간 가공이 가능하고, 18% 이상인 합금은 연화 후 냉간 및 열간 가공이 가능합니다. 금-니켈 합금은 경부하 및 중부하 전기 접촉 재료로 널리 사용되며, AuNi18, AuNi45 등은 진공 전기 납땜 및 항공기 엔진 블레이드 브레이징에 사용됩니다.

  • 582 금-니켈 복합 합금은 금-니켈을 기본으로 크롬, 철, 이트륨, 가돌리늄 및 지르코늄으로 구성됩니다. 낮은 저항 온도 계수, 내마모성 및 긴 수명 등의 특성을 지니고 있어 저저항 및 중저항 권선 및 브러시 재료에 적합합니다. AuNi9는 소량의 희토류 원소인 가돌리늄과 이트륨을 첨가하여 AuNiGd9-0.5, Au-NiY9-0.5 합금으로, 크롬을 첨가하여 AuNiCr5-1, AuNiCr5-2 합금으로 만들 수 있으며, 이 두 합금 모두 사용량이 많습니다.


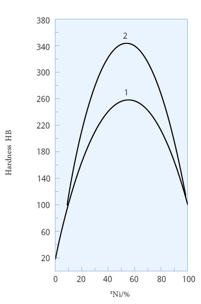
Au-Ni 합금의 경도
1 — 담금질 상태 합금; 2 — 시효 상태 합금

도움이 필요하시면 저희에게 연락주세요.