지르칼로이 4

  • 지르칼로이 4
  • 지르코늄 804

제품 상세 정보

Zr-4 표준

당사의 Zr-4 시트, Zr-4 바, Zr-4 포일, Zr-4 와이어, Zr-4 튜브, Zr-4 타겟 및 Zr-4 부품은 모두 ASTM B351, ASTM B352 및 ASTM B353 표준을 준수합니다.

Zr-4의 특성

Zr-4 합금 튜브의 인장 특성
재료 상태 인장 강도/MPa 항복 강도/MPa 연장/%
방 온도 380˚C 방 온도 380˚C 방 온도 380˚C
재결정화 ≥ 413 ≥ 195 ≥ 241 ≥ 120 ≥ 20 ≥ 25
As-어닐링됨 425 205 260 135 20 22
Zr-4 합금의 방사선 조사에 의한 수소 흡수량
합금 야금학적 상태 흡수된 수소 중량 증가량 흡수된 수소량
원거리 플럭스 근접 플럭스 1020
중성자/cm2
1.7X1021
중성자/cm2
원거리 플럭스 근접 플럭스 1020
중성자/cm2
1.7X1021
중성자/cm2
Zr-4 어닐링(퍼필밍) 0.5 0.4 - 1.9 22 80 - 17
어닐링(산세척) 0 0.1 0.2 1.1 - 7 8 13

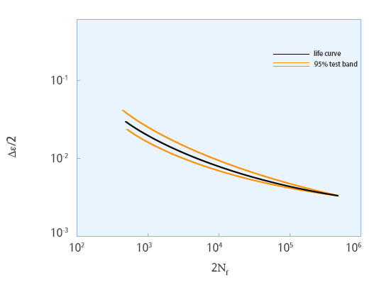
다양한 조건에서의 Zr-4 합금 변형-피로 수명 그래프


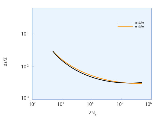
Zr-4 합금 재결정 어닐링-피로 수명 그래프

Zr-4 Application

원자로 지르코늄 합금 응용 프로그램
지르코늄 합금 원자로 종류 응용 프로그램
Zr-4 PWR, PHWR, 저온 가열 원자로 연료 튜브, 제어봉 가이드 튜브, 측정 튜브,
그리드 스페이서, 엔드 플러그, 요소 상자

지르코늄-4 응용

도움이 필요하시면 저희에게 연락주세요.