백금

  • 플래티넘 시트
  • 플라티넘

제품 상세 정보

플래티넘 소개

  • 백금은 백금족 금속 중에서 가장 널리 사용되는 금속입니다.

  • 플래티넘은 뛰어난 성능을 자랑하며 다양한 분야에서 널리 사용됩니다. 보석 산업에서는 주로 장신구와 공예품에 사용됩니다. 화학 산업에서는 고급 화학 용기용 촉매, 플래티넘 도가니, 전극 및 가속 화학 반응의 재료로 사용됩니다. 플래티넘-이리듐 합금은 만년필 펜촉의 재료로도 사용됩니다.

  • 플래티넘의 색상과 광택은 자연적입니다. 경도는 4~4.5도이며, 상대 경도는 21.45, 당도는 15~19 또는 21.4입니다. 백금은 연성이 뛰어나 매우 얇은 플래티넘 와이어로 뽑아낼 수 있고, 매우 얇은 백금박으로 압연할 수도 있습니다. 강도와 인성은 다른 귀금속보다 훨씬 높습니다. 백금 1g을 끊어지지 않고 1.6km까지 늘릴 수 있습니다. 백금의 녹는점은 1773.5℃입니다. 열전도율이 우수합니다. 화학적 성질이 매우 안정적이며, 강산과 강알칼리에 녹지 않고 공기 중에서 산화되지 않습니다. 백금은 수은을 흡수하지 않으며 독특한 촉매 효과를 가지고 있습니다.


압연 및 어닐링 후 99.9% 순도 백금의 경도(어닐링 시간 1시간)

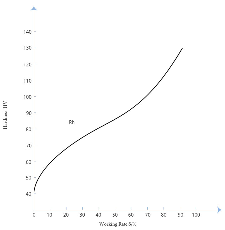
고순도 백금의 경화 공정 곡선

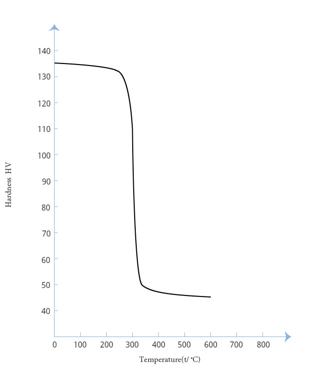
고순도 백금의 어닐링 곡선

도움이 필요하시면 저희에게 연락주세요.